POLARIZACIJA

Veličini površinskog naboja na dielektriku iznosom je jednak vektor polarizacije.

To je kvantitativna mjera polarizacije dielektrika.

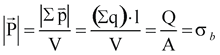
Jednak je zbroju električnih dipolnih momenata u jediničnom volumenu.

slijedi

što su makroskopski mjerljive veličine.

Efikasnost polarizacije mjeri se vremenom relaksacije. To je ono vrijeme koje je potrebno da polarizacija nestane nakon isključenja vanjskog polja.

Različiti su mehanizmi kojima se uspostavlja polarizacija.
Dipolna ili orijentacijska , elektronska i ionska polarizacija događaju se u homogenim tvarima, pa je rezultat polarizacije homogena raspodjela površinskog naboja.

Biološka tkiva nisu homogena i ta nehomogenost uzrokuje dodatne mehanizme polarizacije faznu, membransku, elektrolitsku.