Energija slobodnog titranja

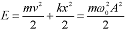
Ukupna energija tijela koje slobodno titra jednaka je sumi njegove kinetičke energije i     elastične potencijalne energije

Energija sistema koje jednostavno harmonijski titra stalno se mjenja iz kinetičke u     potencijalnu i nazad, a ukupna mehanička energija ne mijenja se u vremenu.     Jednostavni harmonijski oscilator je konzervativni sistem.